V Орташа Жылдамдық Формуласы

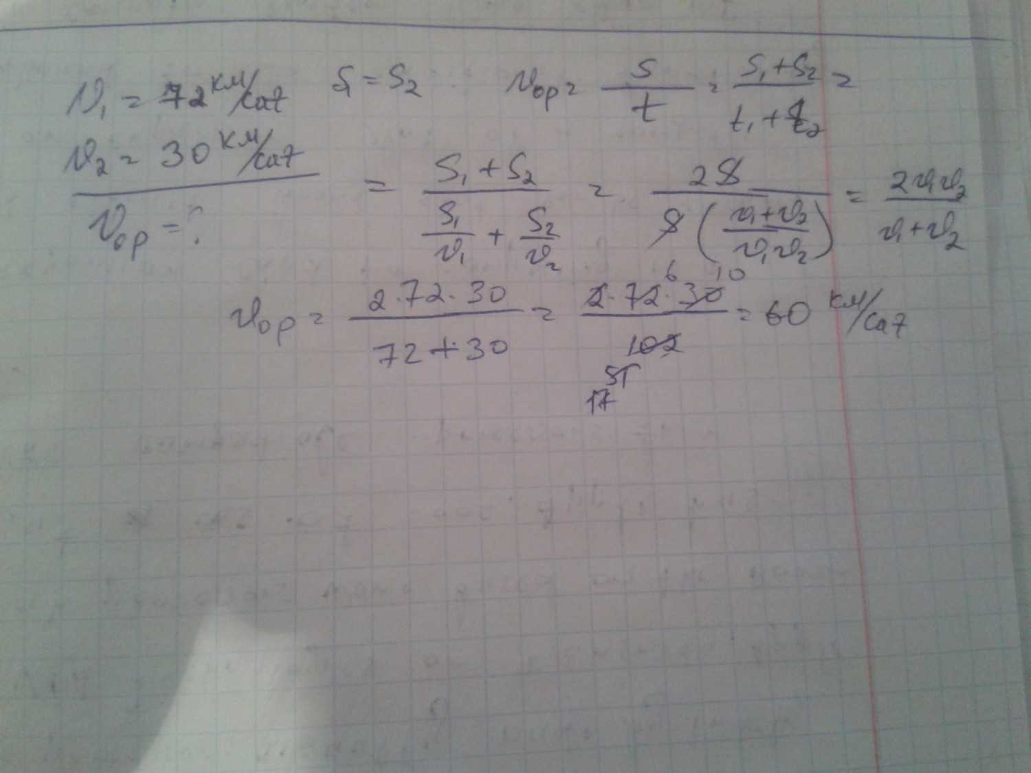
V Орташа Жылдамдық Формуласы. Осы видеода орташа жылдамдықтың формуласын және оның қолдану мысалдарын қарастырамыз. Автомобиль жерге қатысты 15 м /с жылдықпен жүріп келеді.

Ortasha Zhedeldetudi Ò›alaj Esepteuge Bolady Pajdaly KeÒ£ester 2021
Ortasha Zhedeldetudi Ò›alaj Esepteuge Bolady Pajdaly KeÒ£ester 2021 from bornpottytrained.com
1.жүрілген жолдың формуласы қалай еді? Егер газ молекуласының концентрациясы 3 есе артса, ал орташа квадраттық жылдамдығы 3 есе азайса, газдың қысымы қалай өзгеретінін анықтаңыз. 2.барлық жолды табу үшін не істейміз?

Молекулалардың орташа арифметикалық жылдамдығын максвеллдің үлестірілу функциясын қолданып, табыңыз.

Осы видеода орташа жылдамдықтың формуласын және оның қолдану мысалдарын қарастырамыз. Бұл ұғымдардың ғылым мен техникада және күнделікті қолданыста пайдалану аясы кең. Молекулалардың орташа арифметикалық жылдамдығын максвеллдің үлестірілу функциясын қолданып, табыңыз. Дененің s жүрген жолының осы жолын жүрген t уақыт аралығына қатынасын орташа жылдамдық деп атайды.


0 Response to "V Орташа Жылдамдық Формуласы"

Отправить комментарий

Iklan Atas Artikel

Iklan Tengah Artikel 1

Iklan Tengah Artikel 2

Iklan Bawah Artikel